Блог

SEO-кейс. Рост поискового трафика в 7 раз

Клиент — Субчик — сервис поиска подрядчиков, субподрядчиков и исполнителей в строительной сфере

Задача

✅ Максимально увеличить поисковый трафик;
✅ Максимально увеличить вхождение семантики в топ поисковых систем Яндекс и Google
✅ Сайт абсолютно новый, неизвестный. Доменное имя не имеет истории.

Выполненные работы

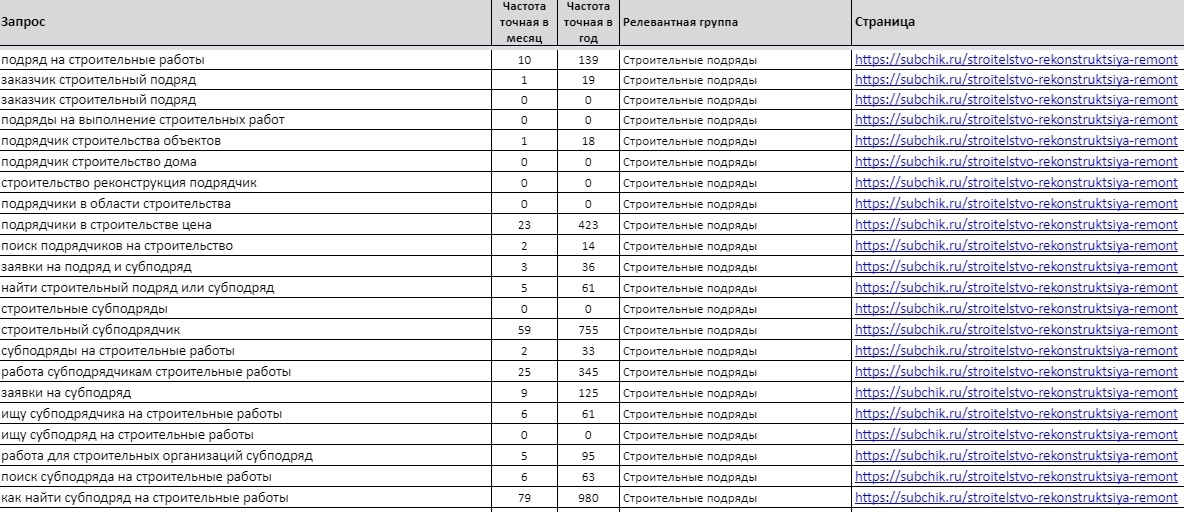
▪️ Сбор семантического ядра 980 ключевых слов — ссылка тут;
▪️ Составление релевантности запросов - распределение ключевых слов на релевантные группы, посадочные страницы;
SEO-кейс. Рост поискового трафика в 7 раз, изображение №1
SEO-кейс. Рост поискового трафика в 7 раз, изображение №2
▪️ Выявление и устранение проблем в Вебмастере Яндекс и Google;
▪️ Аудит конкурентов;
▪️ Настройка индексирования;
▪️ Составление оптимизации мета тегов title и description на всех основных разделах сайта;
▪️ Анализ позиций по продвигаемой семантике, выявление подходящих посадочных страниц;
▪️ Улучшение структуры сайта;
▪️ Составление рекомендаций по сайту;
▪️ Оптимизация страниц организаций по формуле;<title>Подрядчик %название организации%<description>%название организации% на СУБЧИК.РУ. Узнать информацию об организации можно сейчас у нас на сайте. Переходите прямо сейчас.
▪️ Присвоение региона в Яндекс.Вебмастер и Google.Webmasters;
▪️ Реализация межстраничной перелинковки;
▪️ Добавление модуля навигации - хлебные крошки;
▪️ Добавление организации в Я.справочник и Google.business;
▪️ Аналитика поведения пользователей - тепловая карта кликов показывает активность кликов по элементам страниц;
▪️ Реализация микроразметки Opengraph для ссылок;
SEO-кейс. Рост поискового трафика в 7 раз, изображение №3
SEO-кейс. Рост поискового трафика в 7 раз, изображение №4
▪️ Постепенное улучшение оптимизации мета тегов основных разделов;
▪️ Генерация карты сайта — ссылка тут;
▪️ Постановка ТЗ программисту на изменения в сайте, на оптимизацию, т.к. не имели доступа;
▪️ Анализ результатов через полгода работ;
SEO-кейс. Рост поискового трафика в 7 раз, изображение №5
SEO-кейс. Рост поискового трафика в 7 раз, изображение №6
▪️ Необходимо поработать над увеличением популярности организации в справочниках Яндекс и Google, т.к. сервис не имеет ни одного отзыва. Поисковые системы оценивают наличие отзывов и потенциальные клиенты так же обращают на них внимание, что в свою очередь сильно влияет принятие решения.
Предложено добавить ссылки на справочники в подвал сайта и поощрять посетителей сайта за отзыв скидкой или бонусом на услугу.
в Google — ссылка тут
в Яндекс — ссылка тут
SEO-кейс. Рост поискового трафика в 7 раз, изображение №7
▪️Анализ популярности сайта в поисковых системах к концу 2020 года
SEO-кейс. Рост поискового трафика в 7 раз, изображение №8
SEO-кейс. Рост поискового трафика в 7 раз, изображение №9
▪️ Внедрение кол-ва субподрядчиков в мета тег title (заголовок страницы)
Например на странице — ссылка тут
<title>410 строительных подрядов в Перми и Пермском крае: биржа подрядов на ремонт и строительство. Найти субподрядчика на строительные работы
После 3 месяцев тестирования это показало что не работает и занимает место в заголовке. Убрали генерацию кол-ва субподрядчиков.
Через 10 месяцев в ходе анализа поисковых фраз, по которым перешли на сайт пришли к выводу, что по телефонам указанным у подрядчиков на сайте идёт не целевой отрицательный трафик
Предложение скрыть от индексирования телефоны
SEO-кейс. Рост поискового трафика в 7 раз, изображение №10
▪️ Составлено предложение по улучшению контента - Внутренняя перелинковка
SEO-кейс. Рост поискового трафика в 7 раз, изображение №11
▪️ Анализ переспама на страницах
SEO-кейс. Рост поискового трафика в 7 раз, изображение №12
Необходимо убрать перечисление всех рубрик в превью описании каждого подрядчика
Необходимо все подрядчикам сделать короткое 3-строчное описание
SEO-кейс. Рост поискового трафика в 7 раз, изображение №13
▪️ Подготовлено предложение добавить текстовое описание на каждую посадочную страницу
▪️ Также предложение в планах:
  • Внедрение ссылок на отзывы в справочниках, чтобы увеличить популярность организации
  • Устранение переспама ключей на посадочных страницах
17 вхождений, например — ссылка тут
  • Внедрение блога, статейного раздела, приземлять узконаправленные запросы на статьи и линковать на наши релевантные разделы
Необходимо создать раздел статей, в котором будут статьи связанные со строительной тематикой.
  • h1 заголовок сделать единой фразой, а не раздельной в разных строках — ссылка тут
  • Перелинковать посадочные страницы анкорной перелинковкой в этом описании
  • Исправить некорректность приземления. У нас очень много запросов на одну посадочную страницу, есть по 20-50 запросов, т.е. улучшить необходимо сегментацию.

Итоги

  • ТОП 3 + 9
  • ТОП 10 +31
  • ТОП 30 +131
SEO-кейс. Рост поискового трафика в 7 раз, изображение №14
SEO-кейс. Рост поискового трафика в 7 раз, изображение №15
Все источники трафика
SEO-кейс. Рост поискового трафика в 7 раз, изображение №16
Поисковый трафик
SEO-кейс. Рост поискового трафика в 7 раз, изображение №17
Трафик в Яндекс вырос с 286 до 2196 в месяц
Трафик в Google вырос с 86 до 420 в месяц
SEO-кейс. Рост поискового трафика в 7 раз, изображение №18
SEO-кейс. Рост поискового трафика в 7 раз, изображение №19
Ключевые слова, по которым приходит органический трафик на сайт есть как брендовые так и потенциальные:
SEO-кейс. Рост поискового трафика в 7 раз, изображение №20